Inverse Laplace Transform
Given a “nice” function and its Laplace transform , we have where is such the vertical line lies in the radius of convergence of the Laplace Transform , .
Note that:
- The above is a contour integral in the complex plane! The above is “sum of exponentials” Prof talked about!!
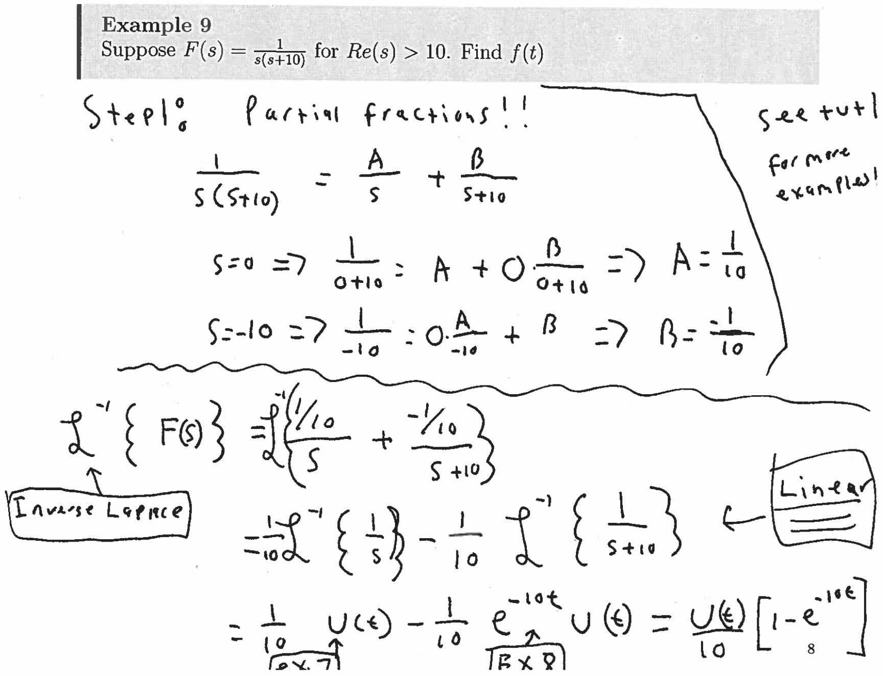
We are not taught how to evaluate these… so we will use partial-fraction decomposition and look up the inverse transforms in a table.

Lecture 7
We care about these ideas because the inverse Laplace transform is a complex valued integral and because of this, we can compute the inverse transform of by only knowing information about the poles of .
Two important results that are related to poles:
Summary