Fourier Transform (FT)
A Fourier transform is a mathematical transform that decomposes functions depending on space or time into functions depending on spatial frequency or temporal frequency.
Decompose it into pure frequencies.
It’s like unmixing different paint colours…
Take a pure signal. Converts time to frequency.
Fourier transform (tldr;):
Recall that the two sided Laplace transform was defined by
given that the integral converged.
When working with (causal) DEs, we used the one sided version of the above.
In our work with Fourier series, we required that the functions be periodic. If this is not the case, then our methods do not work!!
What do we do with these cases? Recall

If then is not allowed to be continuous so becomes a function of and the discrete sum becomes an integral. Further we would need to do some regularization to deal with the averaging in . Doing this defining to be the limiting values of (and some complex analysis to deal with the regularization) gives:

is called the Fourier transform of and we write explicitly:
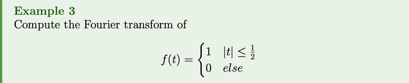
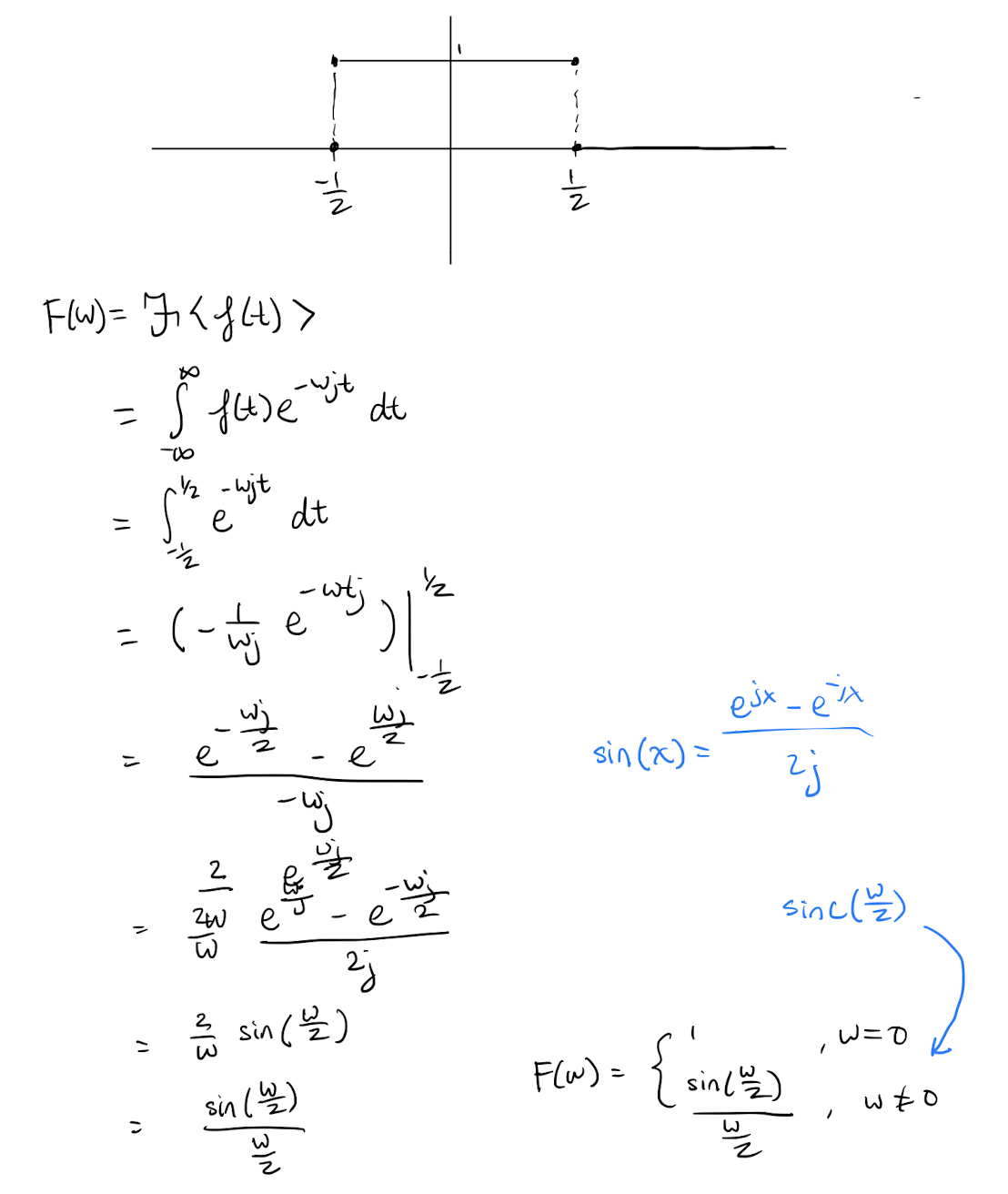
Definition 1: Fourier Transform
If then the Fourier transform of is
and the inverse Fourier transform of is
Note that the Fourier transform/inverse transform is just the two-sided Laplace transform in the case that .

